If you're dividing a polynomial by something more complicated than just a simple monomial (that is, by something more complicated than a one-term polynomial), then you'll need to use a different method for the simplification. That method is called "long polynomial division", and it works just like the long (numerical) division you did back in elementary school, except that now you're dividing with variables.
Think back to when you were doing long division with plain old numbers. You would be given one number (called the divisor) that you had to divide into another number (called the dividend). You set up the long-division symbol, inserted the two numbers where they belonged, and then started making guesses as to what should go on top of the symbol.
Content Continues Below
And you didn't guess the whole answer right away; instead, you started working on the "front" part (that is, the larger place-value part) of the number you were dividing. For instance, if you were dividing 1137 by 82, you'd look at the "8" and the "10", and guess that probably a "1" should go on top, above the "11", because 8 fits once into 11.
Long division for polynomials works in much the same way:
First, I'll set up the division, putting the dividend (the thing being divided into) inside and the divisor (the thing doing the dividing) outside and to the left:
For the moment, I'll ignore the everything past the leading terms. Just as with numerical long division, I will look just at the leading x of the divisor and the leading x2 of the dividend.
If I divide the leading x2 inside by the leading x in front, what would I get? I'd get an x. So I'll put an x on top of the division symbol, right above the x2 inside:
Now I'll take that x on top, and I'll multiply it through the divisor, x + 1. First, I'll multiply the x (on top) by the x (on the "side"), and carry the resulting x2 underneath, putting it directly below the x2 from the dividend:
Then I'll multiply the x (on top) by the 1 (on the "side"), and carry the 1x underneath, putting it directly below the –9x in the dividend:
Then I'll draw the horizontal "equals" bar underneath what I've just put underneath the dividend, so I can do the subtraction.
To subtract the polynomials, I first change all the signs in the second line...
...and then I add down. The first term (the x2) will cancel out (by design), while the –9x – 1x becomes –10x:
I need to remember to carry down that last term (that is, the "subtract ten" term) from the dividend:
At this point, I start ignoring the dividend, and instead work on the bottom line of my long division.
I look at the x from the divisor and the new leading term, the –10x, in the bottom line of the division. If I divide the –10x by the x, I would end up with a –10, so I'll put that on top, right above the –9x:
Now I'll multiply the –10 (on top) by the leading x (on the "side"), and carry the –10x to the bottom, directly underneath the previous line's –10x:
...and I'll multiply the –10 (on top) by the 1 (on the "side"), and carry the –10 to the bottom, directly below the previous line's –10:
I'll draw another horizontal "equals" bar, and change the signs on all the terms in the bottom row:
Then I add down:
By design, the 10x's cancelled off. By happenstance, the 10's cancelled off, too. Then my answer, from across the top of the division symbol, is:
x – 10
Since the remainder on the division above was zero (that is, since there wasn't anything left over), the division "came out even". When you do regular division with numbers and the division "comes out even", it means that the number you divided by is a factor of the number you're dividing.
For instance, if you divide 50 by 10, the answer will be a nice neat "5" with a zero remainder, because 10 is a factor of 50.
In the case of the above polynomial division, the zero remainder tells us that x + 1 is a factor of x2 – 9x – 10, which you can confirm by factoring the original quadratic dividend, x2 – 9x – 10. Any time you get a zero remainder, the divisor is a factor of the dividend.
Content Continues Below
By the way, take note of how I figured out what to put on top of the long-division symbol in the exercise above: I divided the leading term of whatever I was dividing into by the leading term of what I was dividing by. Regardless of whether a particular division will have a non-zero remainder, this method will always give the right value for what you need on top. In this way, polynomial long division is easier than numerical long division, where you had to guess-n-check to figure out what went on top.
Let's do one more example with a division that comes out "even", so we can verify our result by doing the factorization and cancellation.
This fraction-reduction can be done in either of two ways: I can factor the quadratic and then cancel the common factor, like this:
But what if I didn't know how to factor (or if I have to "show my work" for the long polynomial division on a test)? As previously, I'll start the long division by working with the leading terms of the divisor and the dividend.
The leading term of the dividend is x2 and the leading term of the divisor is x. Dividing x2 by x gives me x, so that's what I put up on top, directly over the x2 in the dividend:
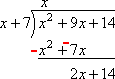
Then I multiply the x on top onto the divisor x + 7, and put the resulting x2 + 7 underneath the dividend:
Then I draw the horizontal "equals" bar, change the signs, add down,and carry the +14 down, getting 2x + 14 under the "equals" bar:
Dividing the leading 2x by the divisor's leading x gives me 2, so that's what I put on top of the division symbol, right above the 9x in the dividend:
Then I multiply this 2 on top against the x + 7, and put the result, 2x + 14, underneath:
Then I change the signs, and add down, getting a zero remainder:
The answer to the division is the quotient, being the polynomial across the top of the long-division symbol:
x + 2
URL: https://www.purplemath.com/modules/polydiv2.htm
© 2020 Purplemath. All right reserved. Web Design by 